Предыдущий уровень изложения текущего раздела   Текущий уровень изложения предыдущего раздела   Текущий уровень изложения следующего раздела   Следующий уровень изложения текущего раздела   Уровень:


Криволинейные интегралы II рода. Примеры. Упражнения

Задачи для самостоятельного решения.

Вычислить криволинейные интегралы второго типа, взятые вдоль данных плоских кривых в указанных направлениях:

11. Вычислить , где L - дуга кривой от А(1,1) до В(3,9).

(см. теория криволинейных интегралов , примеры).

Указание

Решение



Ответ: 60.



12. Вычислить , где L - дуга кривой от x=0 до x= .

(см. теория криволинейных интегралов , примеры).

Указание

Решение



Ответ: 7/6.



13. Вычислить , где L - дуга кривой от А(0,1) до В(1,а).

(см. теория криволинейных интегралов , примеры).

Указание

Решение

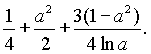
Ответ:



Вычислить криволинейные интегралы второго типа, взятые вдоль плоских кривых.



14. Вычислить , где L - дуга кривой

(см. теория криволинейных интегралов , примеры ).

Указание

Решение

Ответ: ½.



15. Вычислить , где L - дуга окружности .

(см. теория криволинейных интегралов , примеры).

Указание

Решение

Ответ:







16. Вычислить , где L -первая арка циклоиды

.

(см. теория криволинейных интегралов , примеры).

Указание

Решение

Ответ:



Вычислить криволинейные интегралы второго типа, взятые вдоль пространственных кривых.



17. Вычислить , L - дуга кривой

(см. теория криволинейных интегралов , примеры ).

Указание

Решение

Ответ: 1



18. Вычислить , L - дуга винтовой линии

(см. теория криволинейных интегралов , примеры ).

Указание

Решение

Ответ: