|
|
|
|
|
||
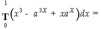
Используем формулу (4.15):
Для уравнения кривой L имеем:
.
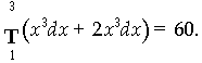
Ответ: 60
Используем формулу (4.15):
Для уравнения кривой L имеем:
от x=0 до x=
.
Ответ: 7/6.
Используем формулу (4.15):
Для уравнения кривой L имеем:
.
Ответ:
Используем формулу (4.14):
Для уравнения кривой L имеем:
.
Ответ: 0.5
Используем формулу (4.14):
Для уравнения кривой L имеем:
.
Ответ:
Используем формулу (4.14):
Для уравнения кривой L имеем:
.
Ответ:
Используем формулу (4.13):
Для уравнения кривой L имеем:
.
Ответ: 1.
Используем формулу (4.13):
Для уравнения кривой L имеем:
= =
Ответ: