Последний уровень раздела предыдущего изложения   Текущий уровень изложения предыдущего раздела   Текущий уровень изложения следующего раздела   Следующий уровень изложения текущего раздела   Уровень:


Криволинейные интегралы II рода. Примеры. Упражнения

8.2. криволинейные интегралы второго типа

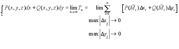
Пусть дана дуга пространственной кусочно-гладкой кривой L, ограниченная точками А и В (см. рис. 4.1), и определенные на ней непрерывные функции Дугу АВ разобьем точками , на элементарных дуг . На каждой дуге выберем произвольную точку , и значения функций в этой точке

умножим не на длину дуги (как это было в случае криволинейного интеграла первого типа), а на проекции этой дуги соответственно на оси Ох, Оу, Ог, которые обозначим через причем , , . Из полученных произведений составим сумму

(4.9)

называемую интегральной, суммой по координатам для функций

Криволинейным интегралом второго типа, взятым по кривой L или по пути АВ , называется предел интегральной суммы (4.9) при

(4.10)

На кривой L, целиком лежащей в плоскости Оху, функции Р, Q, R не зависят от z, поэтому

(4.11)

Если функции Р, Q, R рассматривать как проекции некоторой переменной силы F на координатные оси, то криволинейный интеграл второго типа выражает работу силы точка приложения которой описывает кривую L.

Криволинейный интеграл второго типа зависит от выбора направления обхода кривой; если изменить направление обхода, то интеграл меняет знак:

(4.12)

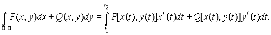
Вычисление криволинейного интеграла второго типа также сводится к вычислению определенного интеграла.

Если линия L задана параметрическими уравнениями

и значению соответствует точка А , а значению - точка В, то

(4.13)

В частности, для кривой L, лежащей в плоскости Оху,

(4.14)

Если плоская кривая L задана уравнением то

(4.15)

Приведенные теоретические положения используются при рассмотрении примеров (см. также задачи для самостоятельного решения )