Последний уровень раздела предыдущего изложения   Текущий уровень изложения предыдущего раздела   Текущий уровень изложения следующего раздела   Следующий уровень изложения текущего раздела   Уровень: Глоссарии:


Методы проверочного расчета точности

Проверочный расчет позволяет получить значение суммарной погрешности ( ), характеризующей точность проектируемого устройства, и оценить правильность назначения допусков на первичные погрешности (т.е. управлять процессом корректировки допусков, добиваясь условия, чтобы ).

Проверочный расчет может быть выполнен на основе как линейной теории точности, так и нелинейной. Расчеты результирующей погрешности в рамках указанных теорий могут проводиться без учета и с учетом случайного характера технологических и других погрешностей, для чего используются вероятностные и статистические методы.

С учетом случайного характера ряда первичных погрешностей в рамках линейной теории точности выражение (36) можно записать в следующем виде ([30]* , [31]* ):

(94)

где - систематическая составляющая суммарной погрешности устройства, обусловленная действием неслучайных первичных погрешностей и факторов, а также систематическими составляющими случайных погрешностей; - случайная составляющая суммарной погрешности устройства, обусловленная действием случайных погрешностей и факторов.

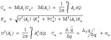
Так как передаточная функция (коэффициент влияния) А qпервичной погрешности может содержать кроме неслучайной (Ас) также и случайную (Аv) составляющую (например, для векторных погрешностей) АqсАv, то неслучайное (систематическое) значение частной погрешности определится:

,

где M (А v) - математическое ожидание случайной составляющей передаточной функции первичной погрешности; Ср = Mvq - коэффициент, учитывающий систематическую составляющую частичной погрешности.

Для векторных первичных погрешностей где Q - направление вектора погрешности, изменяющееся в пределах от 0° до 2 p.

Отклонение действительного закона рассеяния частичной погрешности от закона Гаусса учитывается коэффициентом Кр ([30]* ):

где - среднее квадратическое отклонение случайной составляющей передаточной функции первичнойпогрешности (для векторных погрешностей составляет

.

В связи с вышеизложенным, в общем случае выражение (94) может быть записано в следующем виде:

(95)

Наибольшее распространение на практике получили следующие методы проектного расчета (см. рис. 105): "Max-Min", "квадратичного суммирования", "Ренча", "вероятностый", "Монте-Карло". Существенное различие указанных методов состоит в способах вычисления результирующей погрешности , являющейся следствием действия случайных первичных погрешностей (второе и третье слагаемые выражения (95), см. табл.8).

Таблица 8

 

"Мах-Мin"

 

"Квадратичного суммирования"

 

"По Ренчу"

 

"Вероятностный"

"Монте-Карло"

Для векторных погрешностей

 

При расчете по методу "Max-Min" случайным погрешностям присваиваются предельные значения допусков, полученные на основе первоначального расчета и корректировки, а результат их действия находят алгебраическим суммированием при самом неблагоприятном их сочетании:

(96)

Этот метод расчета дает значительно завышенное значение по отношению к тому, что получается на практике при назначенных допусках на первичные погрешности. Особенно это проявляется при большом числе случайных погрешностей, так как вероятность того, что все эти погрешности примут предельные значения, причем в худшую сторону - ничтожна. При корректировке допусков данный метод проверки приведет к неоправданному ужесточению их значений.

Результирующую погрешность по методу "Квадратичного суммирования" определяют по следующей формуле:

. (97)

В большинстве случаев этот метод дает заниженное значение по сравнению с практическим результатом, так как здесь не учитываются систематические составляющие случайных погрешностей и вид закона рассеяния. При корректировке допусков данный метод приведет к излишнему расширению их значения. В частном случае, когда первичные погрешности и факторы не имеют систематических составляющих (центры полей рассеяния совпадают с номиналом) и их рассеяние подчиняется закону Гаусса, метод квадратичного суммирования позволяет получить значение , близкое к практическому (т.е. правильный результат).

Расчет по методике, предложенной Ренчем ([54]* , [66]* ), устраняет завышенность и заниженность значений , полученных при использовании первых двух методов, так как позволяет найти результат как среднее геометрическое между алгебраическим суммированием по методу "Max-Min" и квадратичным суммированием:

(98)

Расчет по методике Ренча дает удовлетворительный результат, когда все случайные первичные погрешности и факторы подчиняются нормальному закону рассеяния и имеют систематические составляющие, равные половине их поля рассеяния. При наличии большого числа случайных погрешностей, не имеющих или имеющих незначительные систематические составляющие, этот метод дает существенно завышенный результат . Поэтому его применение в подобных случаях, например, для расчета показателей качества изображения оптических систем (и корректировке допусков на первичные погрешности, влияющие на качество изображения) неоправданно.

Вероятностный метод позволяет получить (по сравнению с рассмотренными выше) более правильный результат , так как он основан на правилах суммирования случайных величин и учитывает наличие систематических составляющих случайных погрешностей и вид закона рассеяния последних:

(99)

Однако вероятностный метод, как и все предыдущие, основывается на линейной теории точности, что накладывает упомянутые (см. п. 3.6.2) ограничения его применимости.

Теоретически наиболее точный результат позволяют получить методы статистического моделирования, например, метод Монте-Карло ([27]* , [51]* ). Вычисление результирующей погрешности, обусловленной действием случайных погрешностей, методом Монте-Карло состоит в следующем.

Моделируются случайные значения первичных погрешностей, распределенных в поле их допуска по заданному закону и с заданными вероятностными характеристиками. Перейдя от случайного сочетания погрешностей к случайному сочетанию действительных параметров прибора, находят j-тую реализацию (пробу) результирующей погрешности:

(100)

После получения достаточного числа(обычно не менее нескольких сотен) таких реализаций (т.е. статистически промоделировав возможные варианты изготовления устройства и изменения его характеристик из-за действия случайных влияющих факторов), выполняют статистическую обработку результатов моделирования и определяют необходимые характеристики точности.

При использовании этого метода следует учесть, что точность результата зависит от создания математически адекватной модели действия первичных погрешностей и факторов, а также от соответствия заданных (теоретических) законов и характеристик рассеяния погрешностей их действительным (практи-ческим) значениям. Поэтому данный метод целесообразно применять в наиболее ответственных случаях на заключительной стадии расчета точности при достаточно хорошо изученных моделях и первичных погрешностях.

Следует заметить, что в настоящее время весьма актуальным является экспериментальное исследование действительных законов рассеяния и характеристик технологических первичных погрешностей ОП, зависимостей между допусками и стоимостью изготовления и сборки деталей в условиях современного производства.

Рассмотрим на простом примере результаты расчета суммарной случайной погрешности указанными методами. Пусть требуется найти максимальное (или минимальное) значение зазора (с доверительной вероятностью 0,997) в посадке линзы в оправу и максимальное значение децентрировки центра кривизны поверхности А относительно базовой оси оправы ВГ (рис. 106,а).

Значение зазора зависит от случайных погрешностей диаметров линзы и оправы, законы рассеяния которых обычно подчиняются закону Гаусса. Допустим, что практические предельные рассеяния (доверительная вероятность равна 0,997) этих погрешностей совпадают с границами поля допуска (рис. 106,б).

Тогда при расчете зазора принимаем:

Децентрировка поверхности А обусловлена следующими погрешностями: смещением линзы в зазоре посадки - децентрировкой самой линзы (децентрировкой центра кривизны поверхности А относительно оси цилиндрической поверхности линзы)- мкм; смещением центра кривизны поверхности А относительно базовой оси из-за неперпендикулярности (торцевого биения) поверхности L оправы относительно оси ВГ ; смещением центра кривизны поверхности А из-за неперпендикулярности поверхности L линзы к оси ее цилиндрической поверхности ; децентрировкой посадочного отверстия в оправе относительно оси ВГ - d 0c= 5 мкм.

 

Погрешностиузлакреплениялинзы
Рис.106. Погрешности узла крепления линзы

 

При расчете децентрировки все перечисленные выше первичные погрешности считаем векторными случайными величинами, модули которых распределены по закону Релея, а направления - по закону равной вероятности в интервале от 0° до 2p , поэтому для частичных погрешностей принимаем Ср = 0, Кр = 1, АС = 1.

Результаты расчета представлены в табл. 9.

Из таблицы видно, что при расчете зазора, когда действует всего две погрешности, его значения, полученные различными методами, могут существенно различаться. Наибольшее отклонение от ожидаемого на практике значения, за которое принимаем результат расчета по методу "Монте-Карло", имеют методы "Max-Min" и квадратичного суммирования.

Таблица 9

 

Метод расчета

 

"Мах-мin"

"Квадратичного сумирования"

 

"Ренча"

 

"Вероятностный"

 

"Монте-Карло"

Максимальный зазор в посадке (мкм) Dс

 

124

 

88,8

 

104,9

 

108,7

 

108,4

Максимальное значение децентрировки (мкм) Dе

 

92

 

47

 

66

 

56

 

55,6

 

При расчете децентрировки поверхности А, являющейся результатом действия шести первичных погрешностей, наблюдается еще большее различие результатов.

Таким образом видно, что достоверность результата проверочного расчета и качество управления корректировкой допусков в существенной мере зависят от используемого метода. Считается, что вероятностный метод является наиболее точным в рамках линейной теории точности и рекомендуется при выполнении проверочного расчета "ручным" (неавтоматизированным) способом.

В работе [70]* и прил. 2 рассмотрены примеры расчета допусков и точности устройств комбинированным методом.

Проблемным вопросом точностного анализа и синтеза является полнота учета всех первичных погрешностей и факторов, влияющих на показатели точности приборов и устройств. Иногда тщательно выполненные расчеты с использованием математического, программного и компьютерного обеспечения, как говорится, "летят насмарку" из-за того, что не была учтена (выявлена) та или иная погрешность или фактор.

Вначале, как правило, выявляют методические погрешности прибора, обусловленные косвенным методом его работы, допущениями относительного объекта, погрешностями выверки и т.д. (см. табл.3).

Для полноты выявления инструментальных первичных погрешностей рекомендуется представить прибор в виде элементарных преобразователей входного сигнала (объективы, приемники, модуляторы, механизмы...), для которых их первичные погрешности обычно известны, а также проанализировать возможные погрешности передачи информации с одного элементарного преобразователя на другой (погрешности соединительных элементов). В случаях, когда возникают затруднения при выявлении первичных погрешностей, следует определить, какие отклонения характеристик и конструктивных параметров устройств и элементов, технологических и эксплуатационных характеристик материалов, погрешности размеров, формы, расположения деталей влияют на преобразование сигнала. Это можно выполнить, например, с помощью матриц влияния ([31]* ).

Исследование и составление банка данных вида и характеристик погрешностей типовых функциональных устройств и элементов является, наряду с вышеупомянутой необходимостью исследования действительных законов рассеяния технологических первичных погрешностей, также весьма актуальной проблемой при создании прецизионных приборов.