Последний уровень раздела предыдущего изложения   Текущий уровень изложения предыдущего раздела   Текущий уровень изложения следующего раздела   Первый уровень изложения следующего раздела   Уровень: Глоссарии:


Основные положения линейной теории точности

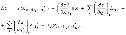
Действительное и номинальное значения информативного параметра выходного сигнала прибора в общем случае можно записать в следующем виде:

(33)

где - действительная и номинальная функции, связывающие Y и X; X, - действительное и номинальное значения информативного параметра входного сигнала; - действительное и номинальное значения конструктивных параметров; - действительное и номинальное значения влияющих факторов.

Разность между этими функциями, согласно (13), представляет собою погрешность результата функционирования прибора, которая может быть записана в следующем виде:

(34)

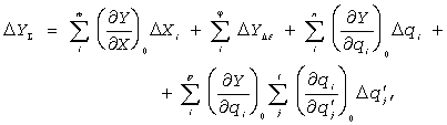
Разложив действительную функцию в степенной ряд Тейлора и, ограничиваясь линейными членами разложения, получим:

(35)

где - отклонение информативного параметра входного сигнала от его номинального значения (методическая погрешность); - первичная погрешность конструктивного параметра; - изменение влияющего фактора (первичный фактор); - частные производные, являющиеся передаточными функциями (коэффициентами влияния) первичных погрешностей и вычисленные для номинального значения функции (т.е. без учета первичных погрешностей и факторов); n - число первичных погрешностей конструктивных параметров; l - число влияющих факторов.

Разность между первым и последним членами выражения (35) представляет собой теоретическую инструментальную погрешность:

Так как может быть обусловлена действием не одного, а, например, нескольких допущений (первичных методических погрешностей), - действием нескольких разнородных первичных теоретических погрешностей, а действует на точность прибора через , то выражение (35) запишем в виде:

(36)

где m - число первичных методических погрешностей; - число первичных теоретических погрешностей; p - число параметров, на которые воздействуют влияющие факторы.

Из выражения (36) следует, что суммарная погрешность прибора ( ), обусловленная действием первичных погрешностей, может быть найдена взаимонезависимым суммированием их частичных погрешностей.

Эта взаимонезависимость влияния погрешностей обусловлена тем, что при разложении действительной функции преобразования сигнала в ряд Тейлора были отброшены смешанные производные и производные второго и более высоких порядков. Так как значение первичных погрешностей невелико, а действие первичных факторов приводит к небольшому изменению значений конструктивных параметров прибора, то производные высших порядков и смешанные производные оказывают, как правило, незначительное влияние на точность прибора и не учитываются линейной теорией точности.

Таким образом, линейная теория точности основана на двух следующих основополагающих условиях.

1. Линейная зависимости между частичной и первичной погрешностями. Например, частичная погрешность, обусловленная первичной погрешностью конструктивного параметра, определяется зависимостью вида:

(37)

где а .

В общем случае передаточная функция (коэффициент влияния) первичной погрешности Аq может носить нелинейный характер, поэтому линейность связи между и нужно понимать в смысле учета только первой производной.

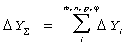
2. Принцип взаимонезависимости (принцип суперпозиции) действия погрешностей:

. (38)

В связи с тем, что погрешности функционирования прибора и стабильности (воспроизводимости) рассчитываются через погрешности прибора (см. выражения (24),(25) ), в рамках линейной теории точности для них также справедливы линейная зависимость от первичных погрешностей и принцип взаимонезависимости.

Частичные погрешности функционирования и стабильности (воспроизводимости) в общем случае могут быть записаны в следующем виде:

(39)

(40)

В зависимости от того, изменяются (V), либо остаются неизменными (С) значения и на границах интервала функционирования (т.е. в текущем положении относительно начального или при повторных циклах функционирования), выражения (39) и (40)принимают значения, представленные в табл. 6.

Таблица 6

 

С

С

0

0

С

V

V

С

V

V

Из этих выражений следует, что в случае постоянства значений и погрешности функционирования и стабильности (воспроизводимости) не возникают, несмотря на наличие первичной погрешности прибора.

Линейная теория точности дает хорошее практическое приближение (в большинстве случаев с точностью до величин высших порядков малости) результатов к теоретическим, которые рассчитывают с помощью нелинейной теории точности, учитывающей взаимозависимость погрешностей ([6]* ).