Последний уровень раздела предыдущего изложения   Текущий уровень изложения предыдущего раздела   Текущий уровень изложения следующего раздела   Следующий уровень изложения текущего раздела   Уровень: Глоссарии:


Проектные методы расчета допусков

Первоначальный синтез допусков на первичные погрешности и значения влияющих факторов может быть осуществлен различными проектными методами ([23]* , [49]* ), три из которых получили наибольшее распространение при расчете точности функциональных устройств оптических приборов ([36]* , [70]* ) и представлены в табл. 7.

Метод равных допусков основан на том, что суммарный допуск на точность функционирования устройства или прибора (DYvd) вначале распределяют между частичными погрешностями (влияниями), причем это распределение осуществляют пропорционально передаточным функциям (коэффициентам влияния) первичных погрешностей и факторов ([23]* , [57]* , [58]* ):

В этом случае допуски на первичные погрешности и факторы получаются одинаковыми. Для случайных первичных погрешностей, подчиняющихся центрированному закону Гаусса, имеем:

(84)

В общем случае, при наличии систематических составляющих случайных погрешностей и отличии их закона рассеяния от нормального (Гаусса), формула имеет вид:

(85)

Метод равных допусков можно применять только для однородных первичных погрешностей, передаточные функции которых имеют одинаковую размерность (например, при расчете допусков на центрировку линз объектива, исходя из допустимого значения комы).

 

Таблица 7

 

N

Методы

Расчетные формулы

1

"Равных

допусков"

2

"Соответствия

коэффицентам влиния"

 

3

"Учета

экономических факторов"

а)

при р=1; Т=1 (Изготовление деталей):

при р=0,5; T=1:

б)

при р'=0,5; Т '=1 (Сборка деталей)



 

Он обладает тем недостатком, что в случае сильного влияния одной или нескольких первичных погрешностей устройства расчетный допуск на все погрешности получается жестким. Для технологических погрешностей это означает, что требуемая точность устройства (суммарный допуск) достигается за счет точного изготовления всех деталей.

Экономически это, как правило, неоправданно, тем более, что часто значения допусков получаются невыполнимыми.

Метод соответствия допусков коэффициентам влияния основан на том, что суммарный допуск распределяется равнозначно между частичными погрешностями (влияниями):

Для случайных погрешностей, не имеющих систематических составляющих и распределенных по закону Гаусса, получим:

В общем случае допуск определяется ([30]* ):

(86)

где l 0 - коэффициент, учитывающий количество и вид действующих погрешностей (влияний).

Приближенное значение этого коэффициента может быть вычислено по следующей формуле [31]* :

(87)

где - число систематических частичных погрешностей; n1, n 2 - число случайных частичных погрешностей, имеющих и не имеющих, соответственно, систематические составляющие.

Допуски на первичные погрешности (и влияющие факторы) здесь получаются разными, в зависимости от величины передаточной функции (коэффициента влияния) первичной погрешности. Такой способ первоначального расчета допусков более рационален, так как применим для разнородных погрешностей и учитывает степень влияния каждой погрешности и фактора. Недостатком этого метода, как и предыдущего, является то, что рассчитанные допуски на технологические первичные погрешности получены без учета экономических факторов.

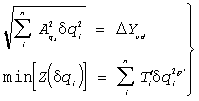
Метод учета экономических факторов (при расчете допусков) основан на условии обеспечения заданной точности прибора (устройства) при минимизации величины затрат.

Так как при изготовлении деталей затраты Z (dq) на выполнение допусков (см.Часть I, п.2.2.3 ) увеличиваются с повышением точности, т.е. с ужесточением допусков, (см.рис.табл.7 кривая 1), то выражение для расчета допусков находится из системы:

(88)

где Тi - коэффициент пропорциональности для выражения допуска в единицах стоимости; р>0 - показатель степени. При решении этой системы с помощью неопределенных множителей Лагранжа и условий (Тi=1, р=1) получим ([23]* , [25]* ):

. (89)

При допущении менее сильной зависимости стоимости изготовления деталей от допусков (р=0,5) получаем, согласно [9]* :

(90)

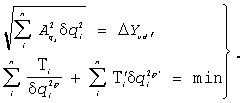
Этот способ распределения суммарного допуска учитывает только затраты, связанные с изготовлением деталей. Затраты на сборку деталей не учитываются. Однако, стоимость сборки деталей особенно при автоматизации сборочных процессов зависит от погрешностей их изготовления (рис.табл.7, кривая 2) и уменьшается с повышением точности (при ужесточении допусков). Если учитывать только затраты на сборку, то допуски на первичные погрешности могут быть найдены, исходя из решения системы, аналогичной вышерассмотренной:

(91)

где Т'- коэффициент для выражения допуска в единицах стоимости, р' - показатель степени, учитывающий зависимость между стоимостью сборки деталей и погрешностью их изготовления. Решение системы можно осуществить методом неопределенных множителей Лагранжа. Положив р'=0,5, =1, то есть при условии пропорционального влияния погрешностей на стоимость сборки, получаем функцию:

Где L - неопределенный множитель Лагранжа.

Дифференцируя эту функцию по L и dqi, получаем систему уравнений:

откуда: ,

и далее:

Следовательно, допуски определяются по формуле:

.

Окончательно формула для расчета допусков примет вид:

. (92)

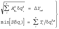
Как видно из графика (рис.табл. 7 кривая 3), имеется оптимальная зона допусков на погрешности изготовления деталей, учитывающая затраты и на изготовление, и на сборку. Если исходить из суммарных затрат, то аналитическое выражение для расчета допусков может быть получено при решении следующей системы уравнений:

(93)

Недостатком способов расчета, учитывающих экономические факторы, является то, что они могут быть применимы только для технологических погрешностей, причем имеющих одинаковую размерность передаточных коэффициентов.

Следует заметить, что формулы для расчета допусков не учитывают наличие систематических составляющих случайных погрешностей и отличие законов рассеяния от нормального (т.е. справедливы лишь для погрешностей, подчиняющихся центрированному закону Гаусса).

Кроме того, следует отметить отсутствие современных исследований зависимости стоимости изготовления и, особенно, сборки деталей при условии широкого использования автоматизированного оборудования и ГАП - гибких автоматизированных производств (т.е. следует признать, что графики на рис. табл.7 носят фактически качественный характер).

В связи с этим методику расчета допусков в общем случае целесообразно основывать на втором методе, где допуски получаются различнымии зависят от степени влияния каждой погрешности и фактора, а экономическую сторону вопроса можно учитывать с помощью экономических уровней точности технологических процессов (см. часть I, п.2.2.3 , п.2.3.9 ), на этапе корректировки допусков.

Перечисленные методы первоначального расчета допусков основываются на линейной теории точности, что накладывает следующие условия на возможность их применения: значения погрешностей достаточно малы; величины погрешностей в степени 2 и выше (высших порядков малости) пренебрежимо малы; первичные погрешности взаимонезависимы.