Последний уровень раздела предыдущего изложения   Текущий уровень изложения предыдущего раздела   Текущий уровень изложения следующего раздела   Первый уровень изложения следующего раздела   Уровень: Глоссарии:


Метод дифференцирования функции преобразования

Этот метод основан на том, что функция преобразования поочередно дифференцируется по входящим в нее параметрам, имеющим первичные погрешности.

Функцию преобразования (9)/, связывающую поворот (X) шкалы датчика угла со смещением (Y) изображения, положенную в основу работы оптического следящего устройства запишем в виде:

(42)

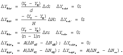
где N - угол поворота винта в делениях шкалы (счетных импульсах, квантах и т.п. для датчика), - число делений шкалы, А - цена деления шкалы. На погрешность работы будут, в частности, влиять первичные погрешности толщины пластины , плеча рычага , показателя преломления , деления шкалы , оценки доли деления шкалы при отсчитывании (погрешность квантования). Их передаточные функции могут быть найдены дифференцированием функции (42) по соответствующим параметрам:

(43)

Погрешности функционирования (измерения) и воспроизводимости микрометра, вызванные этими первичными погрешностями, в соответствии с (39),(40)/ могут быть представлены как:

 

Метод дифференцирования функции преобразования является наиболее простым, однако имеются ограничения при его применении. Этот метод нельзя использовать для нахождения передаточных функций погрешностей нулевых параметров (перекосов, зазоров, погрешностей форм, эксцентриситетов, деформаций и т.п.). Неприменим он также для случая, когда в функции преобразования устройства отсутствуют конструктивные параметры, от погрешностей которых ищутся передаточные функции (например, для параллелограммного механизма). С известными ограничениями он должен использоваться в случае нахождения передаточной функции от первичных погрешностей, значения величин которых носят переменный и смешанный характер. Так, например, передаточная функция погрешности шага винта ( ) оптического следящего устройства, найденная дифференцированием (42), , правильна только для так называемой накопленной составляющей погрешности шага винта ( ), для местной нерегулярной погрешности шага ( ) это выражение неверно. Так как погрешность шага винта приводит к погрешности перемещения конца винта , то передаточная функция этой составляющей погрешности определяется по формуле: