Предыдущий уровень изложения текущего раздела   Текущий уровень изложения предыдущего раздела   Текущий уровень изложения следующего раздела   Следующий уровень изложения текущего раздела   Уровень:


Интегрирование по частям в неопределенном интеграле

1.2.3 Примеры.

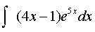
Пример 1. Найти интеграл .

Решение. Возьмем данный интеграл по частям, положив , , тогда , , тогда:

Пример 2. Найти интеграл .

Решение. Применим формулу интегрирования по частям. Положим , , тогда , , следовательно,

.

Пример 3. Найти интеграл .

Решение., Применим формулу интегрирования по частям, положив , , тогда , .

Следовательно,

.

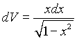
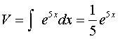
Пример 4. Найти интеграл .

Решение. Применим формулу интегрирования по частям: ,

,

.

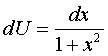
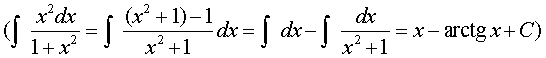
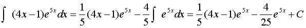
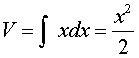
Пример 5. Найти интеграл .

Решение. Применим формулу интегрирования по частям. Положим , , тогда , , следовательно, .

(Вычисление интеграла см. пример 4).

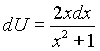
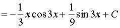
Пример 6. Найти интеграл .

Решение Применим формулу интегрирования по частям. Положим , , тогда , , следовательно, .



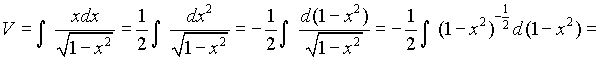
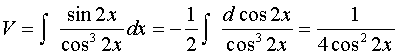
Пример 7. Найти интеграл .

Решение.

Обозначим искомый интеграл через I и применим формулу интегрирования по частям, полагая . Тогда и Последний интеграл снова возьмем по частям, полагая . Тогда и .

Рассматривая это равенство, как уравнение относительно I, получим