Последний уровень раздела предыдущего изложения   Текущий уровень изложения предыдущего раздела   Текущий уровень изложения следующего раздела   Первый уровень изложения следующего раздела   Уровень: Глоссарии:


Проектно-конструкторские мероприятия для повышения надежности

1. При поиске идей и разработке принципа функционирования прибора необходимо учитывать надежность тех физических эффектов, которые будут заложены в основу его работы. Например, приборы для измерения длин, основанные на интерференции света (интерферометры) и работающие в цеховых условиях, будут менее надежны (из-за чувствительности к колебанию температуры, давлению и влажности воздуха, вибрациям и т.д.) по сравнению с оптико-электронными приборами, основанными на фотоэлектрических и телевизионных преобразователях (датчиках) линейных перемещений и расстояний, которые менее чувствительны к влияющим факторам.

2. При разработке структуры и конструкции прибора следует использовать как можно больше известных (заимствованных) конструктивных решений, унифицированных и стандартизированных функциональных устройств, узлов и элементов.

Использование заимствованных решений и унифицированных устройств повышает надежность прибора, так как они проверены практикой и лучше отработаны в схемном, конструктивном и технологическом отношениях.

3. Для ответственных элементов прибора необходимо использовать высококачественные материалы и комплектующие изделия, которые обязательно должны выбираться с учетом условий и режимов его работы. Например, неправильный выбор материалов прибора, работающего в тропиках, существенно уменьшает срок его службы (ресурс) и может привести к катастрофическому отказу. Применение пластмасс для ответственных деталей (линз, кулачков, зубчатых колес и др.) или интенсивно работающих вспомогательных элементов (переключателей, фиксаторов и др.), как правило, снижает надежность прибора, т.к. многие виды полимеров подвержены старению во времени (т.е. изменению структуры и химического состава, сопровождающемуся изменением механических, физических и химических свойств) под воздействием внешних факторов - солнечного света, температуры, кислорода, озона, влаги, ионизирующих излучений, проникающей радиации, механических напряжений, биологических и химических воздействий среды и т.д.

4. Разрабатывая конструкцию прибора, необходимо соблюдать принципы конструирования, оказывающие влияние на его функциональную и точностную надежность (например, принцип отсутствия избыточного базирования в соединениях деталей, принцип учета тепловых свойств соединяемых деталей, принцип кратчайшей цепи преобразования, принцип отсутствия избыточных связей в механизмах и приводах и т.д.

При определении размеров и посадок деталей следует учитывать условия жесткости, износоустойчивости, отсутствия заклинивания, деформаций и т.п. Например, если изменение зазора D с в посадке линзы в оправу (рис. 106) при отклонении температуры D t от номинального значения будет больше, чем минимальное значение этого зазора при номинальной температуре (20 ° ), то возможна деформация линзы и отказ прибора. Это происходит при невыполнении условия: D с @ D с0min + ( a 1 - a 2) × D × D t > 0, где a 1, a 2 - коэффициенты линейного расширения материалов линзы и оправы, D - размер (диаметр) сопрягаемых деталей.

5. В конструкции прибора необходимо предусмотреть разнообразные защитные устройства, которые можно подразделить на следующие группы.

- Устройства, предохраняющие прибор от аварийного состояния при отказе того или иного элемента прибора, ошибках оператора, колебании электрического напряжения в сети и т.п. Например, автоматические выключатели и плавкие предохранители в цепи питания; фрикционная муфта (соединяющая двигатель и винт) в винтовом приводе движения измерительной пиноли, предохраняющая сгорание двигателя при выходе из строя концевого выключателя перемещения гайки и последующего стопорения ротора, защитные колпачки и блокираторы случайного нажатия кнопок включения (выключения) прибора, перехода на решение тестовых программ ЭВМ; компьютерные программы защиты от несанкционированного доступа в систему управления прибором или ошибок при вводе значений параметров.

- Устройства, предохраняющие подключение низковольтных источников света, фотоприемников и другого электрооборудования прибора в бытовую сеть либо к несоответствующим гнездам электронных блоков. Например, типичной и частой ошибкой является использование стандартной вилки для подключения источника излучения (лампы подсветки, напряжением 6-8 вт) к блоку питания, которую по ошибке можно включить в бытовую сеть, а также несоблюдение полярности питающего напряжения некоторых приемников излучения, приводящее к выходу прибора из строя или снижению порога его чувствительности.

- Устройства, предохраняющие съем "несъемных" наружных элементов без специального инструмента и приспособлений (окуляров, объективов, рукояток управления), а также потерю "съемных" элементов и их крепежа (невыпадающие винты, поддерживающие цепочки, магнитные фиксаторы крышек, кожухов, бленд, светофильтров).

- Устройства, предохраняющие наружные оптические детали от механического повреждения и загрязнения, а также исключающие возможность воздействия на органы управления и регулирования посторонними предметами (защитные кожуха, диафрагмы, экраны).

- Устройства, предохраняющие порчу прибора при хранении и транспортировке от влияния влаги, грызунов, плесени и грибков, тряски и вибрации (вентиляция, принудительный продув, осушка, амортизация, защитные металлические сетки и т.п.).

6. Конструкция прибора должна обеспечивать доступность всех его компонентов, узлов и деталей для осмотра, контроля, обслуживания, регулировки или замены. Замена или регулировка малонадежных элементов прибора не должна приводить к разборке других узлов. Например, замена перегоревшего источника освещения не должна быть связана со съемом конденсора или разборкой части прибора для доступа к нему.

7. В приборе должны быть предусмотрены световые и звуковые индикаторы включения питания и технического состояния прибора, сигнализирующие о разряде источников энергии, перегрузке, отказе двигателей, перегреве или переохлаждении, выходе из нормального режима эксплуатации, сбое программы вычислений, превышении допустимой погрешности измерений. Например, в автоматизированном приборе для измерения концевых мер длины АПМ-100 ([35]* , [53]* , часть 3 пособия, а также часть 1, производится алгоритмическая компенсация случайной погрешности измерения из-за вибраций, шумов и наводок в электрических цепях и т.д. путем статистической обработки результатов измерения, при которой имеется возможность предусмотреть предупреждение оператора (звуковое, световое или текстовое на экране компьютера) о недопустимом увеличении поля рассеяния случайной погрешности.

8. Весьма эффективным приемом повышения надежности приборов является резервирование, под которым понимается использование дополнительных (дублирующих) элементов, средств и возможностей в целях сохранения работоспособного состояния прибора при отказе одного или нескольких его элементов.

Дублирование малонадежных элементов или устройств в технических изделиях применяется достаточно давно и подсказано самой природой, которая заложила дублирование, например, важных органов и чувств человеку и животным.

Интересный эпизод связан с работой над повышением надежности самолетов на заре их освоения в начале 20-го века. В это время большинство катастроф самолетов было вызвано отказом магнето двигателя внутреннего сгорания - так называемым "исчезновением искры" зажигания. Проблема повышения надежности магнето была решена юным А.А.Микулиным, будущим академиком и известным конструктором авиационных двигателей.

Произошло все следующим образом ([46]* ). Как-то раз Микулин встретил на улице огромного мужика с сильно подбитым, заплывшим и ничего не видевшим глазом. В это время и пришла догадка. Микулин сразу бросился бежать в гостиницу к знаменитому авиатору С.И.Уточкину, где между ними состоялся следующий разговор:

- У людей по два глаза, подбейте левый - правый будет видеть.

- Я никому не собираюсь подбивать глаза, - сказал Уточкин.

- На Вашей машине одно магнето - поставьте два!

- Прекрасная мысль, - сказал Уточкин, - За каждый благополучный показательный полет я буду платить тебе по 10 рублей.

Показательные полеты тогда были платные. И Уточкин сдержал свое слово, посылая после каждого полета денежные переводы.

Кратностью резервирования называют отношение числа резервных элементов (изделий) к числу основных.

Различают резервирование следующих видов:

- общее (резервирование прибора (изделия) в целом);

- раздельное (поэлементное);

- постоянное (без перестройки структуры прибора в случае отказа его элементов);

- динамическое (с перестройкой структуры, в частности замещение отказавших элементов резервными);

- нагруженное (горячее), когда резервные элементы находятся в тех же условиях, что и основные (работающие);

- облегченное, когда резервные элементы до их подключения находятся в облегченных условиях;

- ненагруженное (холодное), при котором резервные элементы включаются в работу только после отказа основных;

- смешанное - комбинация вышеперечисленных видов.

Теоретически резервирование повышает надежность приборов, т.к. переводит систему из последовательно соединенных элементов (в смысле надежности, а не функциональной структуры) в систему с параллельным соединением.

При последовательном соединении n элементов (рис. 112,а) отказ системы наступает при отказе хотя бы одного из них, поэтому вероятность безотказной работы системы в течение времени t определяется (согласно правилу умножения вероятностей независимых событий) произведением вероятностей безотказной работы n ее элементов:

. (120)

Интенсивность отказов системы вычисляется по формуле:

. (121)

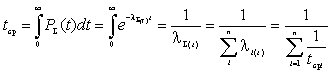
Среднее время безотказной работы определяется:

(122)

Последовательное(всмысленадежности)соединениеэлементов

 

Рис.112. Последовательное (в смысле надежности) соединение элементов прибора

 

Для однотипных элементов, имеющих одинаковую вероятность безотказной работы всех элементов, например, при последовательном включении n лампочек елочной гирлянды (рис. 112,б),соответственно, имеем:

,

т.е. вероятность безотказной работы системы уменьшается с увеличением числа последовательного соединенных элементов, интенсивность отказов l S в n раз больше интенсивности отказов l одного элемента, а среднее время безотказной работы в n раз меньше времени среднего времени безотказной работы одного элемента.

Следовательно, при проектировании прибора необходимо стремиться к возможно меньшему числу последовательно соединенных элементов и повышать надежность элементов, имеющих наиболее низкую вероятность безотказной работы (например, их резервированием).

Как уже было сказано, последовательность включения элементов в смысле надежности не эквивалентна последовательности их включения в функциональном смысле (для передачи информации, энергии и т.п.). Например, система, изображенная на рис. 112,в с параллельно включенными резисторами R1 и R2, выходит из строя при коротком замыкании одного из них.

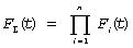
Отказ системы при параллельном соединении элементов (рис. 113,а) не возникает при отказе любого элемента и происходит только тогда, когда откажут все элементы.

Параллельное(всмысленадежности)соединениеэлементов

 

Рис.113. Параллельное (в смысле надежности) соединение элементов прибора

 

Вероятность отказа системы в течение времени t в этом случае будет определено:

, (123)

где Fi(t) - вероятность отказа i-го элемента.

Следовательно, вероятность безотказной работы системы с параллельным соединением элементов, исходя из (109), будет:

. (124)

При равнонадежных элементах (например, для елочной гирлянды с параллельным включением лампочек, рис. 113,б) имеем:

.

Таким образом, резервирование является эффективным средством повышения надежности системы и особенно для этапа приработки прибора (вблизи t=0), где функция распределения случайного времени до первого отказа элементов обычно подчиняется экспоненциальному закону, поэтому (см. (110)):

.

Еще раз заметим, что параллельность соединения элементов в смысле надежности не всегда означает параллельность их соединения в функциональной структуре. Например, последовательное структурное соединение конденсаторов является параллельным в смысле надежности при коротком замыкании одного из них, когда их общая емкость не имеет значения (помехоподавляющий фильтр).

Примерами резервирования малонадежных элементов и систем являются следующие: дублирование источника освещения в медицинских операционных микроскопах; дублирование телевизионных камер в студиях, космических аппаратах; дублирование самих космических аппаратов при уникальных экспериментах (проект "Вега", проект "Фобос"). Именно объектив второй межпланетной станции "Вега-2" передал на Землю наиболее удачные снимки ядра кометы Галлея в 1986 году.

9. Значительное количество отказов при эксплуатации приборов обусловлено ошибками операторов, вызванных ограниченными психофизиологическими возможностями человека, утомленностью, отступлением от привычных, стереотипных движений и расположений индикаторов и т.п., поэтому при проектировании приборов необходимо обеспечивать эргономические показатели их качества. Эти показатели характеризуют степень приспособленности прибора к взаимодействию с человеком с позиции удобства работы, гигиены, безопасности труда (см. часть 1 пособия, п.1.1.2).

В прил. 4 представлены некоторые психофизиологические данные человека, которые необходимо учитывать при разработке конструкции и инструкции эксплуатации прибора для обеспечения его надежности. Так, например, для человека, выполняющего операции "включено", "пуск", "увеличение", "ускорение", привычными являются движения органов управления и регулирования вверх, от себя, вправо; оптимальный момент сопротивления движению маховичка для совершения точных поворотов - (1 - 2)н × см; разрешающая способность глаза (способность различать раздельно два предмета, расположенные близко друг к другу) - 1'; число динамически изменяющихся сигналов, одновременно требующих внимания оператора, не должно превышать трех-четырех.

Специальные вопросы обеспечения надежности системы "человек-машина", являющиеся одной из важнейших задач инженерной психологии, рассмотрены, например, в работе [42]* .