Последний уровень раздела предыдущего изложения   Текущий уровень изложения предыдущего раздела   Текущий уровень изложения следующего раздела   Первый уровень изложения следующего раздела   Уровень: Глоссарии:


Влияние первичных погрешностей и факторов на погрешности фокусных расстояний оптических элементов

Погрешности фокусных расстояний объективов, окуляров и других силовых элементов оптических систем приводят к погрешностям функционирования приборов, вызывают расфокусировку, параллакс, непараллельность визирных осей бинокулярных приборов и другие дефекты.

Погрешности фокусных расстояний возникают из-за первичных погрешностей изготовления и сборки деталей, погрешностей показателей преломления их материалов, отклонения температуры от номинального значения.

Оптическая сила одиночной линзы, находящейся в воздухе, определяется выражением:

.

Влияние каждой первичной погрешности линзы на ее фокусное расстояние находят дифференцированием выражения для оптической силы по параметру, являющемуся источником погрешности:

, (77)

 

где F - оптическая сила линзы; - конструктивные параметры линзы (показатель преломления материала, радиусы кривизны рабочих поверхностей, толщина по оси) и их погрешности соответственно.

Так как допуски на погрешности радиусов кривизны задаются числом колец Ньютона (как отступление от эталонных радиусов пробных стекол), то, учитывая зависимость между радиусом, световым диаметром линзы и стрелкой прогиба h: , можно записать следующее выражение:

где l - длина волны света при контроле по пробному стеклу; Dh=( l/2)N - значение стрелки прогиба между поверяемой и эталонной поверхностью в кольцах Ньютона.

Для одиночного сферического зеркала с наружным отражением фокусное расстояние равно половине радиуса, поэтому выражение погрешности примет вид:

. (79)

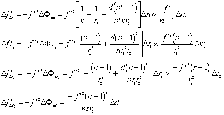
Для склейки из двух тонких линз, учитывая условие ахроматизации n1f 1=n2f 2 (n1,2- коэффициенты дисперсий стекол) и слабое влияние погрешностей радиусов кривизны склеиваемых поверхностей, получим:

(80)

Оптическая сила двух линз или системы линз, состоящей из двух компонентов, расположенных на расстоянии друг от друга, равна:

Погрешность расстояния или его изменение на величину приводят к погрешности или изменению фокусного расстояния системы на величину:

(81)

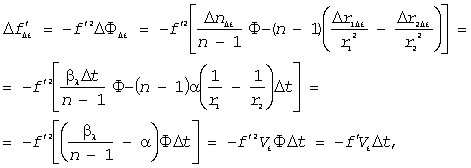
Отклонение температуры от номинального значения (за которое принимается 20 deg:С) приводит к изменению радиусов кривизны, показателей преломления стекол, толщин линз и воздушных промежутков между ними. Для отдельной тонкой линзы (пренебрегая изменением ее толщины) изменение фокусного расстояния определим из выражения, найденного дифференцированием приведенной выше формулы для силы линзы по изменяющимся из-за отклонения температуры параметрам:

(82)

где Dn Dt = blD t - изменение показателя преломления материала стекла линзы при изменении температуры на Dt (bl - температурное приращение показателя преломления для длины волны света l ); Dr1,2 Dt = r1,2 aDt - изменение радиусов кривизны поверхности при изменении температуры (a - коэффициент линейного расширения материала линзы); - термооптическая постоянная материала.

Для склейки из двух линз будем иметь:

(83)

где - фокусное расстояние склейки; F1, F2 - силы компонентов; V 1t, V2t- термооптические постоянные материалов компонентов.