Предыдущий уровень изложения текущего раздела   Текущий уровень изложения предыдущего раздела   Текущий уровень изложения следующего раздела   Следующий уровень изложения текущего раздела   Уровень:


Интегрирование рациональных дробей

1.3. Примеры.

Пример1 Разложить рациональную дробь на простейшие дроби. Коэффициенты разложения найти двумя способами.

Решение.

Данная дробь - правильная (степень числителя , степень знаменателя , ).

I шаг. Разложим знаменатель данной дроби на простые вещественные множители:

.

Знаменатель дроби имеет три вещественных различных корня, поэтому каждому из них будет соответствовать одна дробь.

II шаг. Напишем вид разложения данной дроби на простейшие согласно равенству (1) п.1.3 :

(1)

III шаг. Приведем дроби в правой части равенства (1) к общему знаменателю:

.



Так как равны знаменатели дробей, то равны и их числители:



(2).

Теперь находим коэффициенты

Способ первый. Приравняем коэффициенты при одинаковых степенях x. Преобразуем правую часть равенства (2):

, т.о. равенство (2) можно записать в виде:

(3).

Приравнивая коэффициенты при одинаковых степенях x в левой и правой частях равенства (3), т.е. при (свободный член), получим систему уравнений для нахождения коэффициентов :

решая эту систему, получаем , , .

Способ второй (метод подстановки подходящих численных значений аргумента).

Подставляем в тождество (2) численные значения x. В данном случае наиболее удобно положить , , . Получаем:

если , то , следовательно,

если , то , следовательно,

если , то , следовательно,

Замечание. Значения коэффициентов получаются одни и те же, независимо от способа вычисления.

Итак, исходя из равенства (1), получаем разложение данной дроби на простейшие:

Пример2. разложить рациональную дробь на простейшие дроби.

Решение.

Данная дробь правильная.

I шаг. Разложим знаменатель дроби на простейшие множители:

Знаменатель дроби имеет два вещественных корня. Корень простой и корень кратности 2.

II шаг. Разложение данной дроби на простейшие согласно равенству (1) п.1.3 имеет вид:

(4)

т.е. множителю соответствует одна дробь, а множителю - две дроби.

III шаг. Приводим дроби в правой части к общему знаменателю

, откуда следует равенство числителей:

(5)

IV шаг. Находим коэффициенты . Для вычисления коэффициентов используем смешанный способ ? сначала подставим в (5) значения:

, тогда , следовательно,

и

, тогда , следовательно,

Затем приравняем коэффициенты при : , откуда получаем .

Исходя из равенства (4), получаем разложение данной дроби на простейшие:

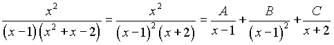
Пример3 Разложить рациональную дробь на простейшие дроби.

Решение.

Дробь правильная.

I шаг. Знаменатель данной дроби уже представлен в виде произведения простейших вещественных множителей, т.к. множитель не имеет вещественных корней.

II шаг. Согласно равенству (1) п.1.3 имеем:

(6)

III шаг. Из тождества (6) следует тождество

(7)

IV шаг. Для вычисления коэффициентов используем смешанный способ. В тождестве (7) положим:

, тогда , следовательно,

, тогда , следовательно,

Теперь приравняем коэффициенты при в левой и правой частях тождества (7), получим:

, следовательно,

Из равенства (6) получаем разложение данной дроби на простейшие:

Пример4. Найти интеграл .

Решение.

Подынтегральная функция есть правильная рациональная дробь. Разложим ее на простейшие дроби. Для этого:



1) разложим знаменатель на простейшие вещественные множители (если это возможно).

Найдем корни множителя :

и

Значит, . Тогда для знаменателя справедливо: .

Таким образом, знаменатель дроби имеет только вещественные корни: простой корень и корень кратности 2.

2) В соответствии с равенством (1) п.1.3 : имеем:

,

откуда получаем тождество.



3)

4) находим коэффициенты используя смешанный метод. Сначала в тождестве 3) полагаем:



, тогда , следовательно,

, тогда , следовательно,

теперь приравняем свободные члены в правой и левой частях равенства 3): , откуда .

Тогда

Теперь перейдем к вычислению интеграла:

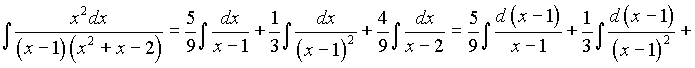
Пример5. Найти интеграл .

Решение.

Разложение подынтегральной дроби на простейшие имеет вид (см. пример3):

, тогда

.